
In this chapter, you will learn about the short cuts to writing 2 × 2 × 2 × 2 . This is known as writing a number in exponential notation.
Exponential notation is a short way of writing the same number multiplied by itself many times. For example, instead of 5 × 5 × 5, we write 53 to show that the number 5 is multiplied by itself 3 times and we say “5 to the power of 3”. Likewise 52 is 5 × 5 and 35 is 3 × 3 × 3 × 3 × 3. We will now have a closer look at writing numbers using exponential notation.
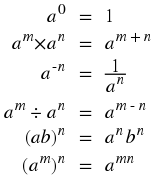
Exponential notation means a number written like
where n is an integer and a can be any real number. a is called the base and n is called the exponent or index.
The n th power of a is defined as:

with a multiplied by itself n times.
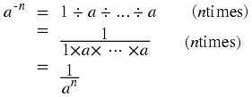
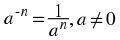
We can also define what it means if we have a negative exponent – n . Then,

Exponentials
If
n
is an even integer, then
a
n
will always be positive for any non-zero real number
a
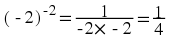
. For example, although – 2 is negative, ( – 2)2 = – 2 × – 2 = 4 is positive and so is
.
Figure 7. Khan Academy video on Exponents - 1
Figure 8. Khan Academy video on Exponents-2
There are several laws we can use to make working with exponential numbers easier. Some of these laws might have been seen in earlier grades, but we will list all the laws here for easy reference and explain each law in detail, so that you can understand them and not only remember them.

Our definition of exponential notation shows that

For example,
x
0 = 1 and
.
160
16 a 0
( 16 + a ) 0
( – 16 ) 0
Figure 9. Khan Academy video on Exponents - 3
Our definition of exponential notation shows that

For example,

This simple law is the reason why exponentials were originally invented. In the days before calculators, all multiplication had to be done by hand with a pencil and a pad of paper. Multiplication takes a very long time to do and is very tedious. Adding numbers however, is very easy and quick to do. If you look at what this law is saying you will realise that it means that adding the exponents of two exponential numbers (of the same base) is the same as multiplying the two numbers together. This meant that for certain numbers, there was no need to actually multiply the numbers together in order to find out what their multiple was. This saved mathematicians a lot of time, which they could use to do something more productive.
x 2 · x 5
23 . 24 [Take note that the base (2) stays the same.]
3 × 3 2 a × 32 Click here for the solution
Our definition of exponential notation for a negative exponent shows that

This means that a minus sign in the exponent is just another way of showing that the whole exponential number is to be divided instead of multiplied.
For example,

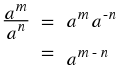
We already realised with law 3 that a minus sign is another way of saying that the exponential number is to be divided instead of multiplied. Law 4 is just a more general way of saying the same thing. We get this law by multiplying law 3 by a m on both sides and using law 2.

For example,

Figure 10. Khan academy video on exponents - 4
The order in which two real numbers are multiplied together does not matter. Therefore,

For example,

( 2 x y ) 3 = 23x 3y 3
( 5 a ) 3 Click here for the solution
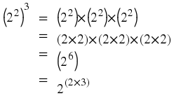
We can find the exponential of an exponential of a number. An exponential of a number is just a real number. So, even though the sentence sounds complicated, it is just saying that you can find the exponential of a number and then take the exponential of that number. You just take the exponential twice, using the answer of the first exponential as the argument for the second one.

For example,

Match the answers to the questions, by filling in the correct answer into the Answer column.
Possible answers are:
, 1, – 1,
, 8. Answers may be repeated.
| Question | Answer |
| 23 | |
| 7 3 – 3 | |
| |
| 8 7 – 6 | |
| ( – 3 ) – 1 | |
| ( – 1 ) 23 |
The following video gives an example on using some of the concepts covered in this chapter.